几何之利刃——反演变换(1)
这篇文章介绍了几何变换中的反演变换,特别是在初中数学中的应用。文章首先给出了反演变换的基本概念,接着讲解了其性质以及在动态点轨迹求解中的应用,尤其是讨论了不同情况下动点的轨迹,包括线生线、线生圆、圆生线和圆生圆等。最后,文章强调了反演变换的重要性,并鼓励读者掌握这一知识。
Cover Image of the Post
【习题解析】 如何解决双重根式化简
看透多动点的本质——旋心
本文深入探讨了旋心(相似不动点)的概念和构造方法,尤其在几何题中的应用。通过实例,文章展示如何通过旋转相似构造一些难题中的旋心,并引导观众理解其在求解最值问题中的重要性。本文还提供了多个练习题,以巩固观众对旋心构造方法的掌握。
Cover Image of the Post
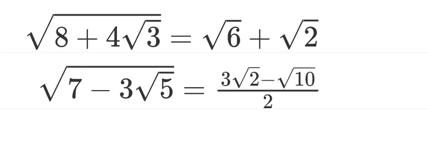
【实用技巧】 如何解决双重根式化简
这篇文章详细介绍了初高中常见的双重根式化简方法,特别是在三角函数计算中的应用。作者通过待定系数法说明如何将一般形式的双重根式化简。文章提供了模型分析、实例讲解和练习题,帮助读者理解化简过程以及判别双重根式是否可化简的条件。
Cover Image of the Post
【探究】 含60°角的三角形
在这篇文章中,作者探讨了一个几何问题,即在三角形ABC中,如果∠A=60°,则仅在ABC为等边三角形时满足AB + AC = 2BC。作者提供了两种证明方法,首先通过构造等边三角形进行边角关系的比较,其次通过圆和三角函数的方法推导出结论。文章呼吁读者用发散性思维来解决数学问题。
Cover Image of the Post
Horean 的持续创作 & 爱发电的注册~
Horean 正努力创作HHH世界的各种产物,希望大家能够支持一下,您的支持是我们前进的动力,AFD 已经准备好向大家开放啦,十分感谢!
Cover Image of the Post
2023年CSP比赛游记
考前一天晚上,我本来用心地复习过了 CSP 的主要考点啊,但是……
GitHub + PicGo 搭建一个属于自己的图床
手把手教你如何搭建一个完全属于自己的图床,完全免费,而且空间无限量!
Hexo - Redefine Theme 踩过的坑
本文介绍了使用 Hexo 建立个人博客时可能遇到的问题,尤其是针对 Redefine 主题在 Windows 系统中的具体配置步骤。文章详细讲解了 Hexo 的安装、项目初始化、主题安装与启用,以及一些常见的坑和解决方案,包括 Hexo 版本的选择和 LaTeX 渲染的配置。
Cover Image of the Post
luogu-HXOI U332989-身高
洛谷-HXOI U332989-身高 Std | 题解
Profile Image of the Author
Horean
Before was was was, was was is.
公告
调对频率的人,会找到这里。
分类
标签
站点统计
文章
25
分类
5
标签
79
总字数
48,678
运行时长
0
最后活动
0 天前

目录

;;